Pag Ibig Acquired Assets 2019 General Trias Cavite
This April 11 2019 The Pag-IBIG Fund Committee on Disposition of Acquired Assets shall conduct a public auction for the sale of acquired asset properties. Showing all 374 Foreclosed Properties in General Trias.

Pag Ibig Foreclosed Property Row House At Sunny Brooke Phase 2 Section 01 Blk 19 Lot 28 Brgy San Francisco City Of General Trias Cavite Lot Area 35 00 Sqm Floor Area 20 12 Sqm For
This September 18 2019 The Pag-IBIG Fund Committee on Disposition of Acquired Assets shall conduct a public auction for the sale of acquired asset properties in Cavite.
Pag ibig acquired assets 2019 general trias cavite. 409 Shaw Boulevard Bgry. 2200 sqm For Auction on 28-Aug-2019 Read More. The Pag-IBIG Fund Committee on Disposition of Acquired Assets shall conduct a public auction for the sale of acquired properties at Roof deck JELP Business Solution Center No.
Lumina tanza towhouse end unit magkatabi in a very affordable price kindly pm for inquiry. Properties for sale in cavite pagibig house and lot for sale in cavite worth 500k house and lot for sale worth 500k pag ibig acquired assets in general trias cavite. 3616 sqm For Auction on 7-Aug-2019 Read More.
A total of 154 foreclosed house and lot properties in Imus General Trias Trece Martires Dasmarinas Bacoor Carmona and Tanza will be in auction. Table of Contents. San Francisco City of General Trias Cavite.
Navarro City of General Trias Cavite Lot Area. Dahil sa patuloy na pagdami ng kaso ng CoViD-19 sa ating bansa simula sa ika-22 ng Marso 2021 ang lahat ng mga katanungan kaugnay sa kasalukuyang kalagayan ng isang pag-aari sa paraan ng pagbili o sa iba pang mga katanungan patungkol sa mga acquired assets ng Pag-IBIG Fund ay aming tatanggapin sa pamamagitan ng paghuhulog sa itatalagang. Ito ay updated at patuloy na ina-update buwan- buwan.
2 Pag-IBIG Acquired Assets For Sale June 2021. This June 23 2021 The Pag-IBIG Fund Committee on Disposition of Acquired Assets shall conduct a public auction for the sale of acquired asset properties in Laguna Cavite Bulacan Batangas Rizal and Metro Manila A total of 400 foreclosed properties in the said provinces will be in auctionThe public bidding will be held at 2nd Floor JELP Business Solution Center No. Meron kami listahan ng mga Pag-IBIG Foreclosed Properties sa CALABARZON Bulacan Pampanga Metro Manila Rizal.
A total of 104 foreclosed properties in Bacoor Imus General Trias Tanza Dasmarinas Kawit Trece Martires General Mariano Alvarez and Naic will be in auction. UNOCCUPIED FORECLOSED PAG-IBIG ROW HOUSE FOR P233000 to P300000. Pag-IBIG Foreclosed Property Single Detached at Parklane Country Homes Phase-5 Blk-27 Lot-05 Brgy.
June 5 2020. Trias Cavite Vacant Lot 38 - 16000000 62 CAVITE General Trias D-356-00350 Lot 26 and 28 Blk 7 Rodelite St. This property is included in a public auction of Pag-IBIG foreclosed properties to be conducted on Wednesday September 18 2019.
Santiago City Of General Trias Cavite For Auction on 11-Apr-2019 UNOCCUPIED For Title Consolidation Read More. Pag-ibig aquired assets in cavite area. The public bidding will be held at.
CAVITE General Trias I-357-0168 Lot 41 Block 3 Section 2 Road Lot 9 Belvedere Townhomes III Brgy. Tierra Nevada Phase 2 San Francisco General Trias Cavite. Pag-IBIG Fund Foreclosed Properties Cavite Below 500K 1M also available.
This property is included in a public auction of Pag-IBIG foreclosed properties to be conducted on Wednesday August 7 2019. Location_on Cavite info Occupied - Occupant Undisclosed. Pag-IBIG Foreclosed Row House at Acm Woodstock Homes Navarro Blk-52 Lot-12 Brgy.
211 JUNE 14 - JUNE 18 2021 NCR BRANCH - SPB 156 2nd Auction - with discount Batangas Bulacan Cavite Laguna Rizal and Metro Manila. 21 For Public Auction. Pag-IBIG Foreclosed Property ROW HOUSE Tierra Nevada Ph1 - Phase-1 Blk-19 Lot-18 - Brgy.
2200 sqm For Auction on 18-Sep-2019 Occupied Read More. NOVEMBER 20 2019 there will be. Addition Hills Mandaluyong City on.
Pag-IBIG Foreclosed Row House at Acm Paramount Homes Phase-1 Blk-19 Lot-37 Brgy. Navarro City of General Trias Cavite Lot Area. Pagibig Acquired Asset In Cavite 16 Properties June 2021.
If you are interested to receive more properties related to foreclosed properties pag ibig cavite you can join OnePropertees Property Assistance program and we will send you details of the properties as they become available. If you are interested to receive more properties related to pag ibig acquired assets in general trias cavite you can join OnePropertees Property Assistance program and we will send you details of the properties as they become available. Pag-IBIG Foreclosed Row House at ACM Woodstock Homes Navarro Blk-59 Lot-14 Brgy.
Pag-IBIG Acquired Assets Ready for Occupancy General Trias Cavite. A total of 118 foreclosed house and lot properties in Bacoor Carmona Dasmarinas Imus Trece Martires Tanza General Trias and. This property is included in a public auction of Pag-IBIG foreclosed properties to be conducted on Thursday April 11 2019.
This January 16 2019 The Pag-IBIG Fund Committee on Disposition of Acquired Assets shall conduct a public auction for the sale of acquired asset properties. Pag Ibig Acquired Assets In Dasmarinas Cavite 12 Properties June 2021. 212 MAY 31 - JUNE 04 2021 NCR BRANCH - SPB 175 1st Auction - no discount Bulacan Cavite Laguna Rizal and.
As is Where Is. Foreclosed properties pagibig acquired asset in cavite properties for sale in cavite pagibig pag ibig acquired assets in general trias cavite pag ibig acquired assets in trece martires cavite house and lot for sale in cavite worth 500k pag ibig acquired assets in. Navarro City of General Trias Cavite Lot Area.
Pag-ibig aquired assets in cavite area. This property is included in a public auction of Pag-IBIG foreclosed properties to be conducted on Wednesday August 28 2019.
Https Www Pagibigfund Gov Ph Document Pdf Acquiredassets Uploads Publicnodiscount Ncr Tranche165 011521 Nd Pdf

Pag Ibig Acquired Assets In General Trias Cavite 12 Properties June 2021 On Onepropertee Com

Pag Ibig Foreclosed Town House At Bel Aldea Blk 51 Lot 22 Brgy San Francisco City Of General Trias Cavite Lot Area 41 48 Sqm Floor Area 42 18 Sqm For Auction On 6 Nov 2019 Occupied Foreclosurephilippines Com
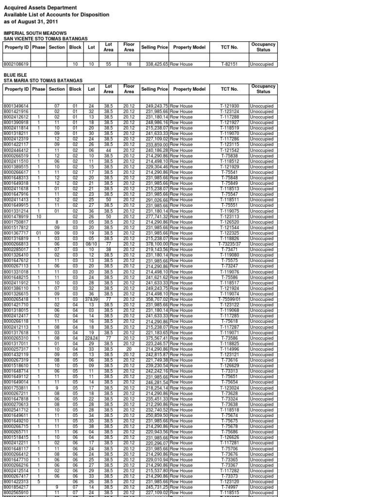
Hdmf Or Pag Ibig Final List Of Acquired Assets As Of August 31 2011 Unoccupied Settlement Geography Urbanization
Komentar
Posting Komentar