Pag-ibig Forms Certificate Of Employment And Compensation
Moreover its also the companys responsibility to provide an intermediary certificate upon your request. Monthly Deductions as of.

Salary Certificate Sample Is Prepared By Human Resource Department Of An Organizations In Ord Certificate Format Certificate Templates Business Letter Template
Certificate of Employment Compensation Consularized if no Job Contract.

Pag-ibig forms certificate of employment and compensation. Income Tax ReturnCertificate of Tax Withheld BIR Form No. The applicant must be a member of pag ibig for at least 24 months. Fill out securely sign print or email your Certificate of Employment and Compensation - pagibigfund gov instantly with SignNow.
Certificate of employment CERTIFICATE OF EMPLOYMENT for Private School Date To Whom It May Concern. Latest Income Tax Return ITR For the year immediately preceding the date of loan application with attached BIR Form No. A certificate of employment sample is a crucial aspect of the employment relationship.
The most secure digital platform to get legally binding electronically signed documents in just a few seconds. Available for PC iOS and Android. This means if your monthly salary is Php 5000 or higher your contribution is computed as follows.
Notarized Certificate of Employment and Compensation Pag-IBIG format Notarized Certificate of Employment and Compensation Employers format and latest one 1 month payslip. Notarized Certificate of Employment and Compensation CEC indicating the gross monthly income and monthly allowances or monthly monetary benefits received by the employee Latest Income Tax Return for the year immediately preceding the date of loan application with attached BIR Form No. Certificate of Employment with Compensation.
As such it should get delivered to all of the employees when their employment agreement gets terminated. This service allows members with assigned Pag-IBIG Membership ID MID or Registration Tracking No RTN to accomplish and submit their Housing Loan Application online. 2316 stamped received by the BIR.
49 based on 283 votes. Utilizing our quick video guide and web-based editor will help you fill in and sign Form without the usual frustration. ACCOMPLISH PRINT ALL ENTRIES.
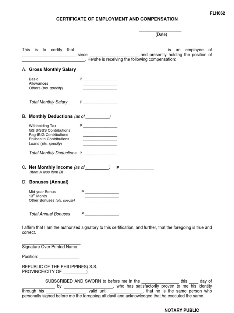
Specify Total Monthly Salary P. Notarized Certificate of Employment and Compensation CEC Indicating the gross monthly income and monthly allowances or monthly monetary benefits received by the employee. This form was released by the Pag-IBIG Fund - a large Filipino corporation that specializes in savings and shelter financing for Filipino citizens who work for local and foreign employers and self-employed individuals.
31 For Locally Employed any of the following. Download Certificate Of Employment And Compensation for Free. CERTIFICATE OF EMPLOYMENT AND COMPENSATION Date This is to certify that is an employee of.
Presently employed in is as since or for afpsat online registration THIS FORM IS FREE AND ITS REPRODUCTION IS ALLOWED. Start a free trial now to save yourself time and money. This service enables accredited developers to accomplish and submit Housing Loan Applications on behalf of the prospective borrowers.
Certificate Of Employment And Compensation. 2316 stamped received by the BIR. Special Power of Attorney Consularized Copy of latest ESAV with at least 24 mos.
Heshe is receiving the following compensation. 2316 and latest one 1 month payslip. 31 For Locally Employed any of the following.
Pag ibig online registration online applicants on the other hand would only have to accomplish the online registration form and create an online account in the pag ibig system. Applying as Check one. Latest Income Tax Return ITR for the year immediately preceding the date of loan application with attached BIR Form.
Are you exhausted from lengthy instructions and complicated questions in formal documents. The most secure digital platform to get legally binding electronically signed documents in just a few seconds. Certificate of employment and compensation cec.
Php 5000 x 002 Php 100. Income Tax ReturnCertificate of Tax Withheld BIR Form No. Proof of Remittance last 3 mos Photocopy of Passport.
Heshe is receiving the following compensation. Counterpart and remit said amounts to Pag-IBIG Fund on or before the 15th day of each month subject to Pag-IBIG Fund guidelines for the duration that the loan of the following employees remain outstanding. 2316 and latest one 1 month payslip.
Certificate of employment with compensationFill out securely sign print or email your Certificate of Employment and Compensation - pagibigfund gov instantly with SignNow. Notarized Certificate of Employment and Compensation Pag-IBIG format Notarized Certificate of Employment and Compensation Employers format and latest one 1 month payslip. Video instructions and help with filling out and completing pag ibig certificate of employment and compensation.
A fillable Certificate of Employment and Compensation Form is available for. This is to certify that MrMs. The maximum monthly salary used for Pag-IBIG contribution computation is Php 5000.
Since and presently holding the position of. Php 5000 x 002 Php 100. Notarized Certificate of Employment and Compensation CEC indicating the gross monthly income and monthly allowances or monthly monetary benefits received by the employee b.
Other Proofs of Income whether original or photocopy shall be duly validated and certifiedinitialed by Pag. Developers Online Housing Loan Application.

Certificate Of Employment And What You Need To Know Stela Benitez

Free Certificate Of Employment With Compensation Templatesdraft 2021
Certificate Of Employment And Compensation Public Finance Taxation

Form Flh062 Download Printable Pdf Or Fill Online Certificate Of Employment And Compensation Cotabato Philippines Templateroller

Free Certificate Of Employment With Compensation Templatesdraft 2021
Komentar
Posting Komentar